What is blue Monday? When is it? and why are we having it written down in a calendar?

Blue Monday is the third Monday of the year and is apparently the most depressing day of the year. Theory of this is that at this time of the year, everyone is cold, annoyed with not enough daylight and just struggling to get back into the work rhythm after Christmas and the holidays. The concept of the ‘Blue Monday’ originates from 2004 by psychologist Cliff Arnall, who was asked to think of something usable for a travel company. As a psychologist, he realized that the worst day of the year seemed to be around the 3rd Monday of January. So he called this day the blue Monday, which the travel company used in marketing to sell their winter deals.
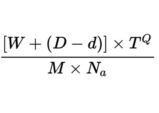
This is his so called ‘scientific formula’ of how he calculated the January blues and figured out the day to be placed on the 3rd Monday of the new year.

W = weather D = debt d = monthly salary T = time since Christmas Q = time since failing our new year’s resolutions M = low motivational levels Na = the feeling of a need to take action
This year especially, with COVID, I do feel like every second Monday could fall under this criteria. Especially those countries struggling with yet another one of those hundreds of lockdowns. Compared to previous years 2020 brought not only a pandemic, but also a lot more mental issues.
Personally I also all under this group of people, that seems to be much more miserable since this pandemic started. I am super extroverted person and need conversation and social interaction to charge my batteries and unfortunately talking to someone over the phone or facetime simply isn’t the same. Either way, I hope that your ‘Blue Monday’ is not a depressing day. If you feel low, try and call up family or friends, do some mindfulness exercises or if in doubt, get yourself some ice cream or chocolate
